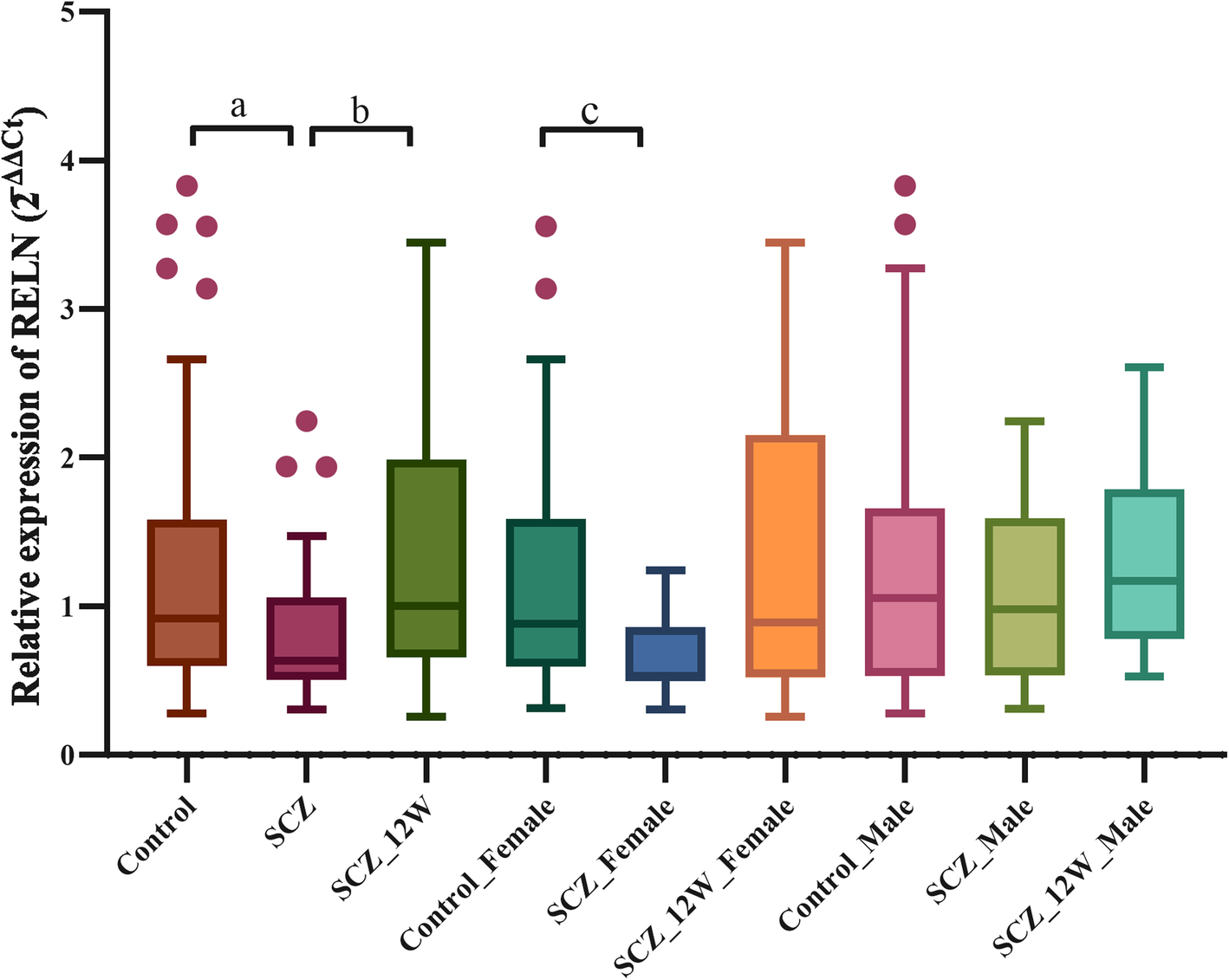
Fig. 1

A Tukey’s “box-plot” of the expression levels of RELN in controls and SCZ patients before and after treatment (2−ΔΔCt). a: The expression of RELN mRNA in the whole blood of control subjects was higher than that in SCZ patients (Mann-Whitney U test); b: The expression of RELN mRNA in the whole blood of SCZ_12w patients was higher than that in SCZ patients (paired Wilcoxon signed-rank test); c: In female subgroup, the expression of RELN mRNA in the whole blood of control subjects was higher than that in SCZ patients (Mann-Whitney U test); Control: healthy control; SCZ: untreated SCZ patients; SCZ_12w: SCZ patients after 12 weeks of antipsychotic treatment. The box plots display the median and interquartile range (25th to 75th percentiles), and the whiskers outside the box extend to the highest and lowest value within 1.5 times the interquartile range. Points outside the whiskers are outliers